当前位置:主页 > 各省市政策 > 浙江省 > 嘉兴市 > 平湖市 > 正文

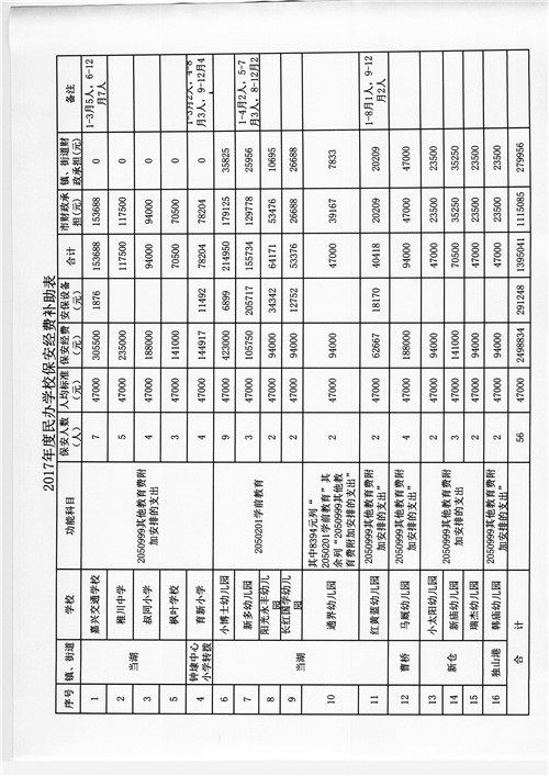
关于下达2017年度民办学校保安补助经费的通知

2021-06-01 平湖市 收藏

文章播报

语音引擎就绪
进度: 0/0 (0%)

详细咨询:关注微信公众号"宁波政策"

版权保护: 本文由 主页 > 各省市政策 > 浙江省 > 嘉兴市 > 平湖市 > 法定主动公开内容,转载请保留链接: https://www.nbxinxi.com/a/pinghushi/20210601/149904.html

关注微信公众号"宁波政策"
打开微信扫一扫左边的二维码或者微信公众号搜索"宁波政策",关注我们,将不定期推送相关宁波政策信息。

站点关键词

         
  • 宁波政策 宁波政策企业服务平台 宁波政策平台 宁波政策服务平台 宁波房贷政策 社保新政策 二胎政策 形势与政策论文 养老保险新政策 农村养老保险新政策 养老金新政策 形势与政策 小微企业所得税优惠政策 宁波补贴政策 宁波落户政策 宁波购房政策 宁波购房政策 宁波限购政策 宁波限售政策 宁波人才政策 宁波公积金政策 宁波贷款政策 宁波限购政策2017 宁波企业政策 宁波医保政策 宁波二套房政策 宁波买房政策 宁波拆迁政策 宁波创业政策 宁波上牌政策 宁波养老政策 宁波房产政策 宁波退休政策 宁波限贷政策 宁波中考加分政策 宁波税收优惠政策 宁波购车政策 宁波公积金贷款政策 宁波高考政策 宁波买车政策 宁波退税政策 宁波光伏政策 宁波市限购政策 宁波电商政策 宁波人才引进政策 宁波招商政策 宁波租赁政策 宁波象山政策 宁波会展政策 宁波民宿政策 宁波楼市政策 宁波市落户政 宁波楼盘政策 宁波梅山税收优惠政策 退伍军人补贴新政策

语音播报提示

您的设备需要手动确认才能开始播报

设备提示:

  • 请确保设备未静音
  • 点击确认开始播报
  • 支持后台播放